五米高考> >海南高考 >海南高校招生 >海南招生计划 >

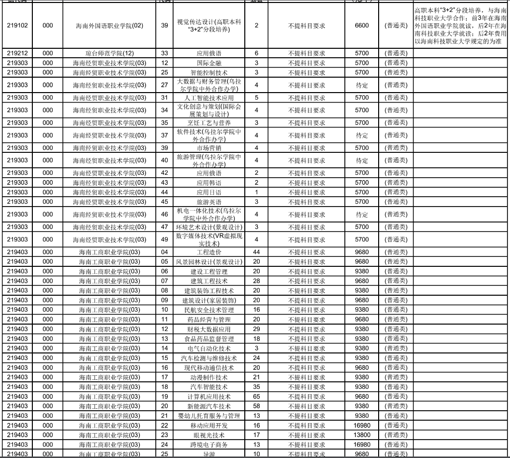
2021年海南省普通高校招生高职专科批征集志愿招生计划

时间: 招生计划

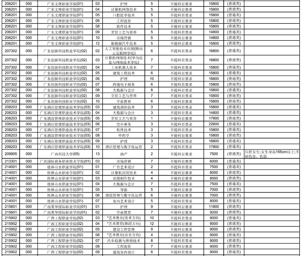
海南省2021年高职专科批次征集志愿时间截止至8月11日的17:30,下面是各院校的征集志愿招生计划汇总,一起来看!

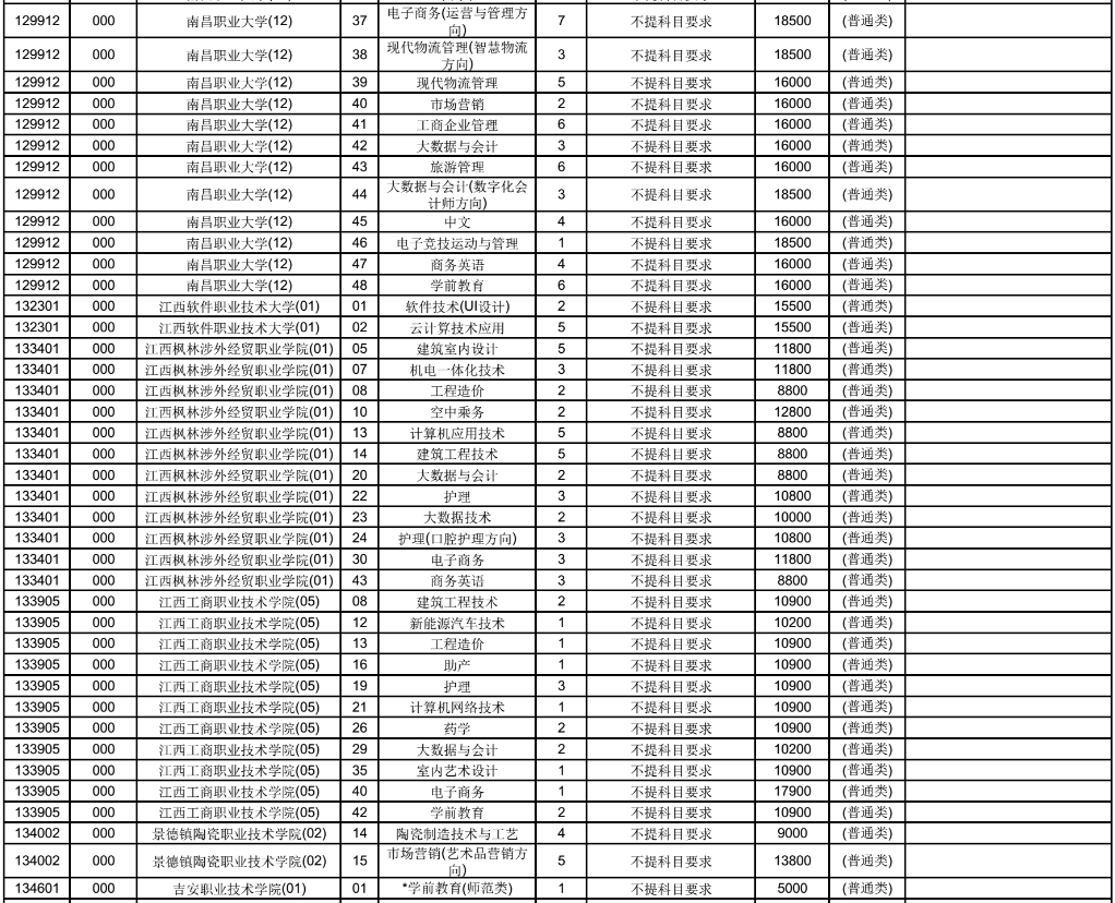
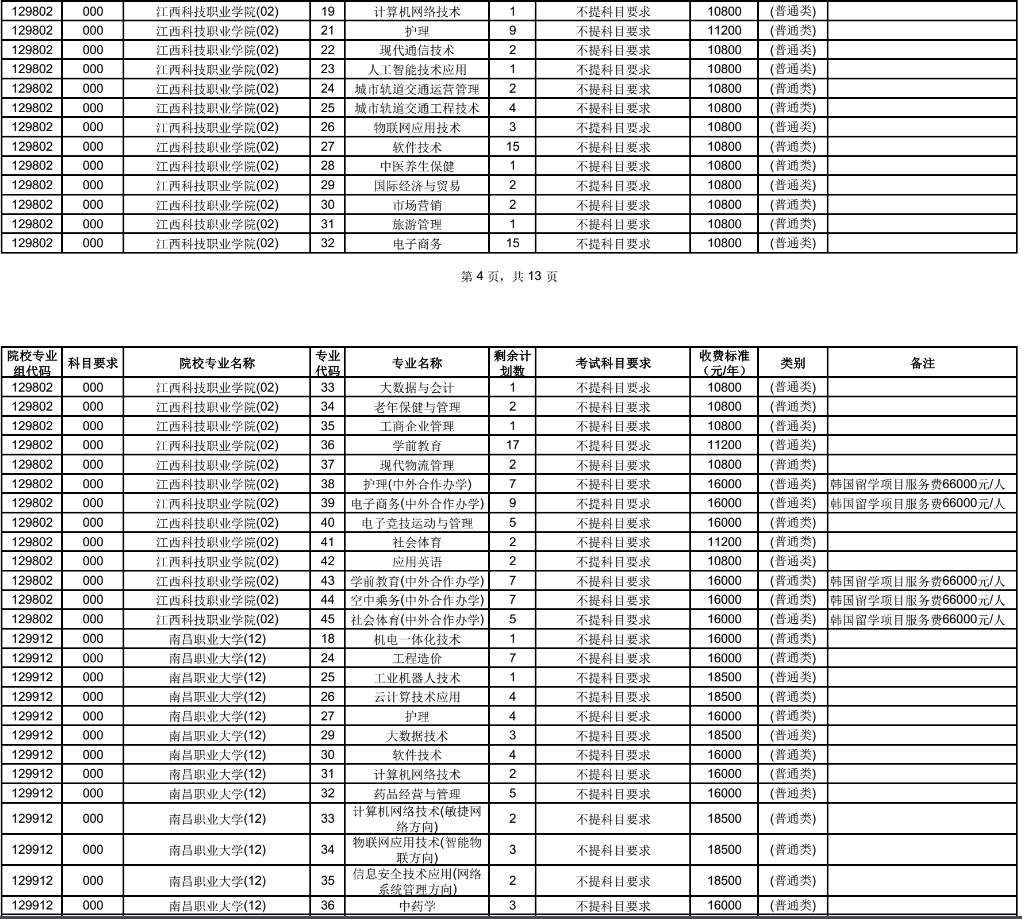
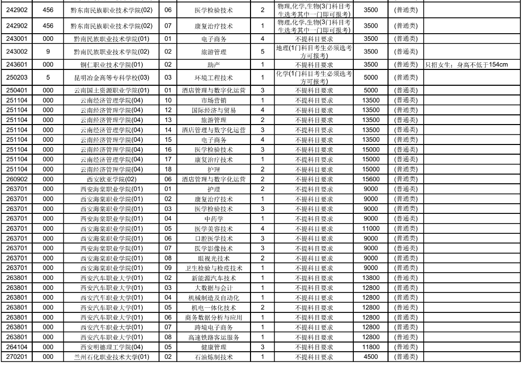
高职专科批征集计划