五米高考> >海南高考 >海南高校招生 >海南招生计划 >

2021年海南省高职专科提前批征集志愿招生计划

时间: 招生计划

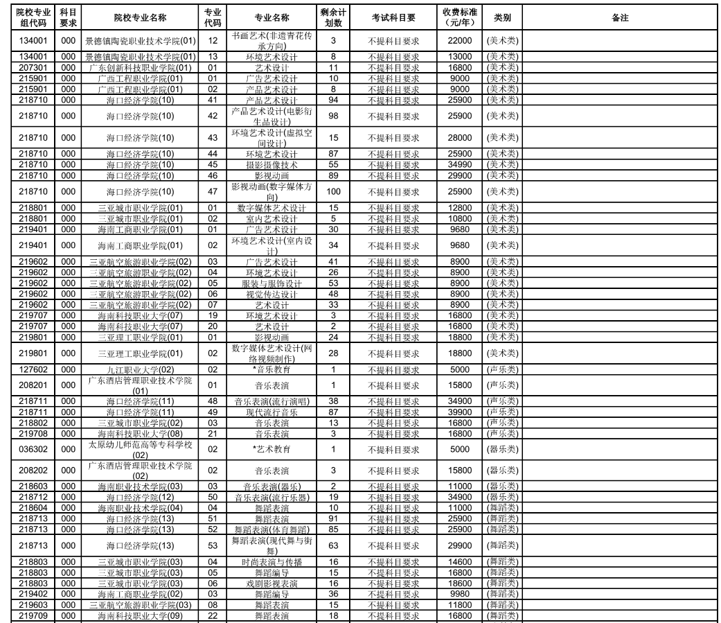
2021年海南省普通高校招生高职(专科)提前批(提前批普通类、艺术类、体育类)平行志愿征集志愿填报截至8月6日上午9点,下面是各院校的征集志愿招生计划,一起来看。

高职专科提前批征集计划